网站首页
关于我们
成果展示
新闻资讯
产品中心
紫金牌标准金锭系列
紫金牌定制金条系列
高纯度原料系列
贵金属深加工产品系列
业务服务
技术服务
在线留言
联系我们
廉正举报
LBMA
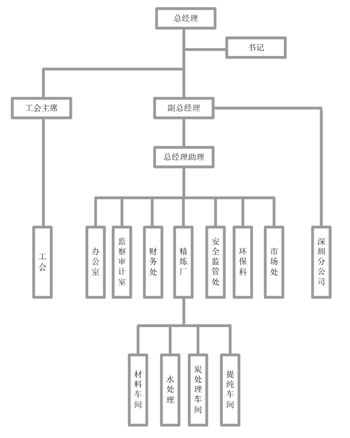
组织架构
组织架构
2023-03-16
上一篇:企业简介
下一篇:下一篇文章